Задание 3.74 - ГДЗ Математика 6 класс. Виленкин, Жохов. Учебник часть 1. Страница 132

Старая и новая редакции

Вернуться к содержанию учебника

3.71 3.72 3.73 3.74 3.75 3.76 3.77

Вопрос

№3.74 учебника 2023-2026 (стр. 132):

№3.74 учебника 2021-2022 (стр. 132):

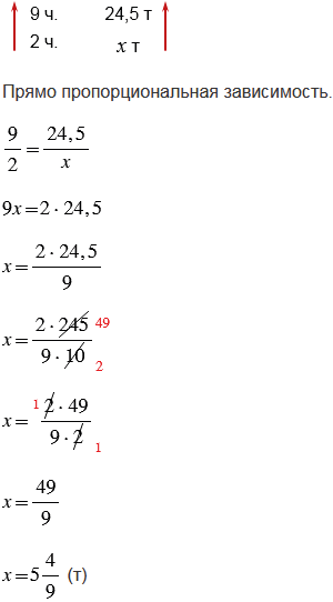
При производстве яблочного пюре на 9 частей пюре приходится 2 части отходов. Сколько отходов получится при производстве 24,5 т яблочного пюре?

Подсказка

№3.74 учебника 2023-2026 (стр. 132):

№3.74 учебника 2021-2022 (стр. 132):

Вспомните:

  1. Что называют прямой пропорциональной зависимостью.
  2. Что называют пропорцией.
  3. Что называют отношением.
  4. Что называют уравнением, его корни.
  5. Что называют дробным выражением.
  6. Основное свойство дроби (сокращение дробей).
  7. Неправильные дроби.
  8. Деление с остатком.
  9. Смешанные числа.

Ответ

№3.74 учебника 2023-2026 (стр. 132):

№3.74 учебника 2021-2022 (стр. 132):


Вернуться к содержанию учебника