Вернуться к содержанию учебника
Проверьте себя. Страница 79
Проверочная работа №2 Проверочная работа №1 Проверочная работа №2 Проверочная работа №3 Проверочная работа Проверочная работа Проверочная работа №1
№Проверочная работа №3 учебника 2023-2024 (стр. 79):
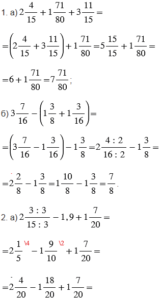
1. Найдите значение числового выражения наиболее удобным способом:

2. Представьте десятичную дробь в виде смешанного числа и вычислите:

3. Запишите равенства, обозначив неизвестное
, и найдите
:
а) число прибавили к
и получили
;
б) число уменьшили на
и получили
;
в) к числу прибавили
и получили
;
г) из числа вычли
и получили
.
4. Моторная лодка в стоячей воде за 9 мин преодолевает расстояние в 3750 м. Найдите скорость моторной лодки по течению и скорость против течения, если скорость течения реки равна
м/мин.
№Проверочная работа №3 учебника 2023-2024 (стр. 79):
Вспомните:
№Проверочная работа №3 учебника 2023-2024 (стр. 79):







Пояснения:
Алгоритм сложения смешанных чисел:
1) привести к наименьшему общему знаменателю дробные части чисел;
2) отдельно выполнить сложение целых и от дельно дробных частей;
3) при необходимости сократить дробь, выделить целую часть и прибавить ее к полученной целой части.
Алгоритм вычитания смешанных чисел:
1) привести к наименьшему общему знаменателю дробные части чисел;
2) если дробная часть уменьшаемого больше дробной части вычитаемого, то надо отдельно вычесть целые и отдельно дробные части и результаты сложить;
3) если дробная часть уменьшаемого меньше дробной части вычитаемого, то надо представить дробную часть уменьшаемого в виде неправильной дроби, уменьшив на единицу целую часть, и выполнить вычитание по пункту 2. При необходимости сократить дробь.
При решении уравнений помним:
Чтобы найти скорость движения, нужно расстояние разделить на время. Чтобы найти скорость лодки по течению, нужно к ее скорости в стоячей воде прибавить скорость течения. Чтобы найти скорость лодки против течения, нужно из ее скорости в стоячей воде вычесть скорость течения.
Вернуться к содержанию учебника