Вернуться к содержанию учебника
Проверьте себя. Страница 98
Проверочная работа №3 Проверочная работа Проверочная работа Проверочная работа №1 Проверочная работа №2 2.407 2.408
№Проверочная работа №1 учебника 2023-2026 (стр. 98):
1. Вычислите наиболее удобным способом:

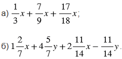
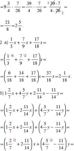
2. Упростите выражение:

3. В фермерском хозяйстве для посева фасоли выделено три участка площадью
, а для посева гороха - два участка площадью
. Сколько килограммов семян фасоли и семян гороха необходимо закупить фермеру, если норма высева фасоли 12 г/м2, а норма высева гороха 18 г/м2?
№Проверочная работа №1 учебника 2023-2026 (стр. 98):
Вспомните:
№Проверочная работа №1 учебника 2023-2026 (стр. 98):








Вернуться к содержанию учебника