Вернуться к содержанию учебника
Выберите год учебника
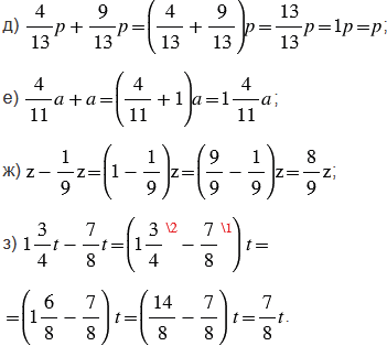
№2.368 учебника 2023-2024 (стр. 94):
Упростите выражение:

№2.368 учебника 2021-2022 (стр. 87):
Вычислите и проверьте вычисления с помощью калькулятора:
1) 557,55 • (1,3689 + 0,7311) : (3,4 • 15,7 - 47,08);
2) 537,84 • (0,9078 + 1,2922) : (2,8 • 14,7 - 36,76);
3) (64,5 - 7,02 : 7,8) • (72 - 561,15 : 8,7) - 152,6;
4) (16,3 - 6,88 : 8,6) • (11,49 - 326,61 : 57) + 513,23.
№2.368 учебника 2023-2024 (стр. 94):
Вспомните:
№2.368 учебника 2021-2022 (стр. 87):
Вспомните:
№2.368 учебника 2023-2024 (стр. 94):


Пояснения:
Чтобы упростить данные выражения, используем распределительное свойство умножения относительно сложения или относительно вычитаем, а именно выносим одинаковый множитель (букву) за скобки и выполняем вычисления в скобках по правилам, указанным ниже.
Чтобы найти сумму (разность) двух дробей с одинаковыми знаменателями, нужно сложить (вычесть) их числители, а знаменатель оставить прежним.
Чтобы сложить (вычесть) две дроби с разными знаменателями, надо: привести данные дроби к общему знаменателю, а затем применить правило сложения (вычитания) дробей с одинаковыми знаменателями.
Чтобы найти разность смешанных чисел, надо: дробные части этих чисел привести к наименьшему общему знаменателю; если дробная часть уменьшаемого больше дробной части вычитаемого, то надо отдельно вычесть целые и отдельно дробные части и результаты сложить; если дробная часть уменьшаемого меньше дробной части вычитаемого, то надо превратить ее в неправильную дробь, уменьшив на единицу целую часть, и отдельно вычесть целые и отдельно дробные части и результаты сложить.
Также помним то, что дробь, у которой числитель и знаменатель одинаковые, равна единице.
Если при вычислениях получилась сократимая дробь ее нужно сократить. Сократить дробь - значит, разделить ее числитель и знаменатель на одно и то же число (наибольший общий делитель).
№2.368 учебника 2021-2022 (стр. 87):

|
|
|||||||||||||||||||||||||||||||||||||||||||||||||||||||||||||||||||||||||||||||||||||||||||||||||||||||||||||||||||||||||||||||||||||||||||||||||||||||||||||||||||||||||||||||||||||
|
|
|||||||||||||||||||||||||||||||||||||||||||||||||||||||||||||||||||||||||||||||||||||||||||||||||||||||||||||||||||||||||||||||||||||||||||||||||||||||||||||||||||||||||||||||||||||
|
||||||||||||||||||||||||||||||||||||||||||||||||||||||||||||||||||||||||||||||||||||||||||||||||||||||||||||||||||||||||||||||||||||||||||||||||||||||||||||||||||||||||||||||||||||||

|
|
||||||||||||||||||||||||||||||||||||||||||||||||||||||||
|
|
||||||||||||||||||||||||||||||||||||||||||||||||||||||||
|
|||||||||||||||||||||||||||||||||||||||||||||||||||||||||

|
|
||||||||||||||||||||||||||||||||||||||||||||||||||||||||||||||||||||||||||||||||||||||||||||||||||||||||
|
|
||||||||||||||||||||||||||||||||||||||||||||||||||||||||||||||||||||||||||||||||||||||||||||||||||||||||
|
|

|
|
||||||||||||||||||||||||||||||||||||||||||||||||||||||||||||||||||||||||||||||||||||||||||||||||||||||||||||
|
|
||||||||||||||||||||||||||||||||||||||||||||||||||||||||||||||||||||||||||||||||||||||||||||||||||||||||||||
|
|
Пояснения:
Действиями первой ступени называют сложение и вычитание чисел, а действиями второй ступени - умножение и деление чисел.
При вычислении значений выражений порядок выполнения действий определяют следующие правила:
1. Если выражение содержит только действия одной ступени и в нем нет скобок, то действия выполняют по порядку слева направо.
2. Если в выражении нет скобок, то сначала выполняют действия второй ступени, потом - действия первой ступени.
3. Если в выражении есть скобки есть скобки, то сначала выполняют действия в скобках (учитывая правила 1 и 2).
Красные числа, стоящие сверху над действиями, показывают в каком порядке нужно выполнять действия.
Вернуться к содержанию учебника