Задание 2.371 - ГДЗ Математика 6 класс. Виленкин, Жохов. Учебник часть 1

Старая и новая редакции

Вернуться к содержанию учебника

2.368 2.369 2.370 2.371 2.372 2.373 2.374

Вопрос

Выберите год учебника

№2.371 учебника 2023-2026 (стр. 95):

Найдите корень уравнения:


№2.371 учебника 2021-2022 (стр. 87):

Угол А равен 400, а угол В составляет 135% от угла А. Найдите градусную меру суммы углов А и В.

Подсказка

№2.371 учебника 2023-2026 (стр. 95):

Вспомните:

  1. Что называют уравнением, его корни.
  2. Распределительное свойство умножения.
  3. Умножение обыкновенных дробей.
  4. Основное свойство дроби (сокращение дробей).
  5. Деление и дроби.
  6. Неправильные дроби.
  7. Деление с остатком.
  8. Сложение и вычитание дробей с одинаковыми знаменателями.
  9. Сложение и вычитание дробей с разными знаменателями.
  10. Приведение дробей к общему знаменателю.

№2.371 учебника 2021-2022 (стр. 87):

Вспомните:

  1. Проценты.
  2. Градусная мера угла.
  3. Как найти дробь от числа.
  4. Десятичные дроби.
  5. Деление десятичных дробей.
  6. Умножение десятичных дробей.

Ответ

№2.371 учебника 2023-2026 (стр. 95):


№2.371 учебника 2021-2022 (стр. 87):

135% = 1,35

1) 400 • 1,35 = 540 - угол В.

× 1 3 5  
    4 0
  5 4 0 0

2) 400 + 540 = 940

Ответ: суммы углов А и В равна 940.


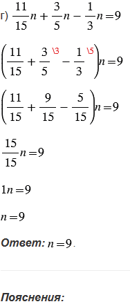
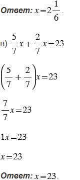
Пояснения:

Чтобы найти несколько процентов от числа, нужно сначала перевести проценты в десятичную дробь, а затем умножить число на полученную десятичную дробь. Чтобы проценты записать в виде десятичной дроби, нужно число стоящее перед знаком % разделить на 100.

Угол А равен 400, а угол В составляет 135% от угла А.

135% = 135 : 100 = 1,35.

Значит, градусная мера угла В равна:

400 • 1,35 = 540.

Градусные меры углов А и В соответственно равны 400 и 540, значит, сумма их градусных мер:

400 + 540 = 940.


Вернуться к содержанию учебника