Вернуться к содержанию учебника
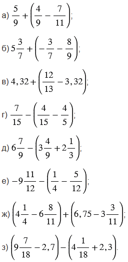
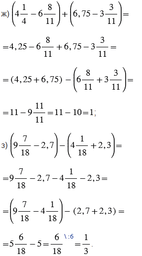
№5.7 учебника 2023-2026 (стр. 78):
Раскройте скобки и найдите значение суммы:

№5.7 учебника 2023-2026 (стр. 78):
Вспомните:
№5.7 учебника 2023-2026 (стр. 78):



Пояснения:
Сначала в каждом выражении раскрываем скобки, при этом помним:
Затем применяем переместительное и сочетательное свойства сложения, то есть группируем слагаемые так, чтобы вычисления были проще.
Правила, по которым выполнены вычисления с дробями, смотрите в подсказке.
Вернуться к содержанию учебника