Вернуться к содержанию учебника
№5.11 учебника 2023-2026 (стр. 79):
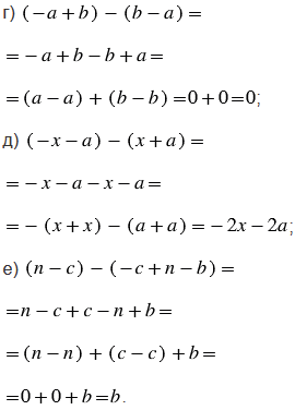
Запишите разность выражений и упростите ее:

№5.11 учебника 2023-2026 (стр. 79):
Вспомните:
№5.11 учебника 2023-2026 (стр. 79):


Пояснения:
Чтобы записать разность выражений, нужно каждое выражение взять в скобки и поставить между ними знак "-". Затем, раскрыв скобки, упростить полученное выражение.
При раскрытии скобок помним:
Затем применяем переместительное и сочетательное свойства сложения, то есть группируем слагаемые так, чтобы можно было упростить выражение. Учитываем то, что сумма противоположных чисел равна нулю (противоположные числа отличаются только знаками).
Вернуться к содержанию учебника