Вернуться к содержанию учебника
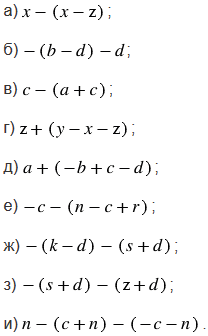
№5.9 учебника 2023-2026 (стр. 78):
Упростите выражение:

№5.9 учебника 2023-2026 (стр. 78):
Вспомните:
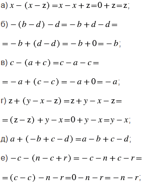
№5.9 учебника 2023-2026 (стр. 78):


Пояснения:
Сначала в каждом выражении раскрываем скобки, при этом помним:
Затем применяем переместительное и сочетательное свойства сложения, то есть группируем слагаемые так, чтобы можно было упростить выражение. Учитываем то, что сумма противоположных чисел равна нулю (противоположные числа отличаются только знаками).
Вернуться к содержанию учебника