Вернуться к содержанию учебника
№5.84 учебника 2023-2026 (стр. 88):
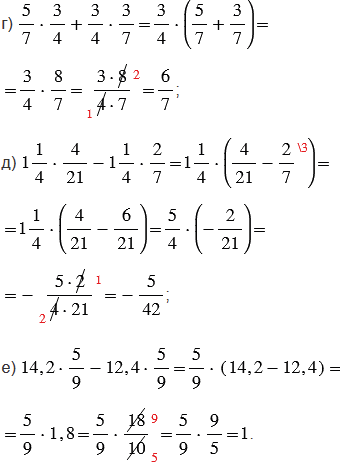
Вычислите, применив распределительное свойство умножения:
а) 8 • 129 + 8 • 171;
б) 4,8 • 3,7 - 4,8 • 2,7;
в) 6,35 • 4,4 + 4,4 • 2,65;

№5.84 учебника 2023-2026 (стр. 88):
Вспомните:
№5.84 учебника 2023-2026 (стр. 88):
а) 8 • 129 + 8 • 171 = 8 • (129 + 171) =
=8 • 300 = 2400;
б) 4,8 • 3,7 - 4,8 • 2,7 = 4,8 • (3,7 - 2,7) =
= 4,8 • 1 = 4,8;
в) 6,35 • 4,4 + 4,4 • 2,65 =
= 4,4 • (6,35 + 2,65) = 4,4 • 9 = 39,6;
| × | 4 | 4 |
| 9 | ||
| 3 | 9 | 6 |

Пояснения:
В каждом из выражений применяем распределительное свойство умножения, т.е. выносим одинаковый множитель за скобки, затем находим сумму или разность чисел, оставшихся в скобках, и далее умножаем, вынесенное за скобки число, на результат от вычисления суммы или разности из скобок.
Правила, по которым выполнены вычисления, смотрите в подсказке.
Вернуться к содержанию учебника