Вернуться к содержанию учебника
№5.85 учебника 2023-2026 (стр. 88):
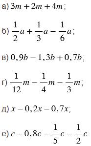
Приведите подобные слагаемые:

№5.85 учебника 2023-2026 (стр. 88):
Вспомните:
№5.85 учебника 2023-2026 (стр. 88):


Пояснения:
Слагаемые, имеющие одинаковую буквенную часть, называют подобными слагаемыми. Чтобы сложить подобные слагаемые, надо сложить их коэффициенты (числа, стоящие перед буквенной частью) и полученный результат умножить на общую буквенную часть.
Правила, по которым выполнены вычисления, смотрите в подсказке.
Вернуться к содержанию учебника