Вернуться к содержанию учебника
Выберите год учебника
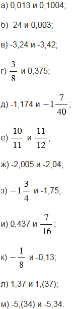
№6 учебника 2023-2026 (стр. 10):
Сравните рациональные числа:

№6 учебника 2013-2022 (стр. 6):
Вычислите:

№6 учебника 2023-2026 (стр. 10):
Вспомните:
№6 учебника 2013-2022 (стр. 6):
Вспомните:
Вернуться к содержанию учебника