Вернуться к содержанию учебника
Выберите год учебника
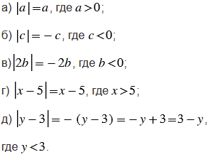
№11 учебника 2023-2026 (стр. 11):
Запишите без знака модуля:

№11 учебника 2013-2022 (стр. 7):
Используя три раза цифру 2, составьте выражение, значение которого равно: а) 6; б) 8; в) 3; г) 1.
№11 учебника 2023-2026 (стр. 11):
Вспомните:
№11 учебника 2013-2022 (стр. 7):
Вспомните порядок выполнения действий.
№11 учебника 2023-2026 (стр. 11):

Пояснения:
Модуль положительного числа равен этому числу.
Модуль отрицательного числа равен числу противоположному.
При раскрытии скобок, перед которыми стоит знак минус, все знаки слагаемых, стоящих в скобках, меняем на противоположные.
№11 учебника 2013-2022 (стр. 7):
а) 2 + 2 • 2 = 6.
б) (2 + 2) • 2 = 8.
в) 2 + 2 : 2 = 3.
г) 2 - 2 : 2 = 1.
Вернуться к содержанию учебника