Вернуться к содержанию учебника
Выберите год учебника
№251 учебника 2023-2026 (стр. 53):
Найдите расстояние между точками:
а) S(7,45) и D(1,15);
б) R(-5,3) и Т(-8,93);
в) K(9,43) и L(-9,43);

№251 учебника 2013-2022 (стр. 53):
Чтобы сделать вовремя заказ, артель стеклодувов должна была изготовлять в день по 40 изделий. Однако она изготовляла ежедневно на 20 изделий больше и, благодаря этому, выполнила заказ на 3 дня раньше срока. Каков был срок выполнения заказа?
№251 учебника 2023-2026 (стр. 53):
Вспомните:
№251 учебника 2013-2022 (стр. 53):
Вспомните:
№251 учебника 2023-2026 (стр. 53):
а) S(7,45) и D(1,15)
SD = |7,45-1,15| = |6,3| = 6,3.
Ответ: 6,3.
б) R(-5,3) и Т(-8,93)
RT = |-5,3 - (-8,93)| = |-5,3 + 8,93|=
= |8,93 - 5,3| = |3,63| = 3,63.
Ответ: 3,63.
в) K(9,43) и L(-9,43)
KL = |9,43 - (-9,43)| = |9,43 + 9,43| =
= |18,86| = 18,86.
Ответ: 18,73.

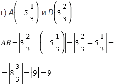
Ответ: 9.
Пояснения:
Расстояние между двумя точками координатной прямой равно модулю разности их координат (как правило из большей координаты вычитают меньшую).
№251 учебника 2013-2022 (стр. 53):



Вернуться к содержанию учебника