Вернуться к содержанию учебника
Выберите год учебника
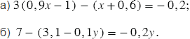
№340 учебника 2023-2026 (стр. 83):
Решите уравнение:

№340 учебника 2013-2022 (стр. 87):
Из бака емкостью 20 л, заполненного водой (рис. 50) через открытый кран равномерно вытекает вода со скоростью 2 л в минуту. Через кран может вытечь 0,9 всего объема воды в баке, так как кран расположен выше дна бака. Объем воды \(V\) (в литрах) в баке зависит от времени \(x\) (в минутах), когда кран открыт. Задайте зависимость \(V\) от \(x\) аналитически, если известно, что кран был открыт в течение 12 мин.
№340 учебника 2023-2026 (стр. 83):
Вспомните:
№340 учебника 2013-2022 (стр. 87):
Вспомните:
Вернуться к содержанию учебника