Вернуться к содержанию учебника
Выберите год учебника
№388 учебника 2023-2026 (стр. 98):
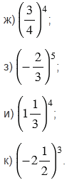
Выполните возведение в степень:
а) 24;
б) 42;
в) 53;
г) 35;
д) (7,8)2;
е) (-1,5)3;

№388 учебника 2013-2022 (стр. 97):
Вычислите:
а) -13 + (-2)3;
б) -62 - (-1)4;
в) -83 + (-3)3;
г) 10 - 5 • 24;
д) 2 • 34 - 3 • 24;
е) 2 • 53 + 5 • 23;

з) 0,2 • 33 - 0,4 • 24;
и) 8 • 0,53 + 25 • 0,22.
№388 учебника 2023-2026 (стр. 98):
Вспомните:
№388 учебника 2013-2022 (стр. 97):
Вспомните:
№388 учебника 2023-2026 (стр. 98):
а) 24 = 2 • 2 • 2 • 2 = 16;
б) 42 = 4 • 4 = 16;
в) 53 =5 • 5 • 5 =125;
г) 35 = 3 • 3 • 3 • 3 • 3 = 243;
д) (7,8)2 = 7,8 • 7,8 = 60,84;
| × | 7 | 8 | ||
| 7 | 8 | |||
| + | 6 | 2 | 4 | |
| 5 | 4 | 6 | ||
| 6 | 0 | 8 | 4 |
е) (-1,5)3= (-1,5) • (-1,5) • (-1,5) = -3,375;
|
|

Пояснения:
Чтобы возвести в степень смешанное число, сначала его нужно преобразовать в неправильную дробь, а после возведения в степень, полученную неправильную дробь нужно преобразовать в смешанное число.
№388 учебника 2013-2022 (стр. 97):
а) -13 + (-2)3 = -1 + (-8) = -9;
б) -62 - (-1)4 = -36 - 1 = -37;
в) -83 + (-3)3 = -512 + (-27) = -539;
г) 10 - 5 • 24 = 10 - 5 • 16 = 10 - 80 = -70;
д) 2 • 34 - 3 • 24 = 2 • 81 - 3 • 16 =
= 162 - 48 = 114;
е) 2 • 53 + 5 • 23 = 2 • 125 + 5 • 8 =
= 250 + 40 = 290;

з) 0,2 • 33 - 0,4 • 24 = 0,2 • 27 - 0,4 • 16 =
= 5,4 - 6,4 = -1;
и) 8 • 0,53 + 25 • 0,22 =
= 8 • 0,125 + 25 • 0,04 = 1 + 1 = 2.
Пояснения:
При вычислении значений числовых выражений, не содержащих скобки, принят следующий порядок действий: сначала выполняют возведение в степень, затем умножение и деление, далее сложение и вычитание.
Вернуться к содержанию учебника