Вернуться к содержанию учебника
Выберите год учебника
№436 учебника 2023-2026 (стр. 105):
Выполните действия:

№436 учебника 2013-2022 (стр. 106):
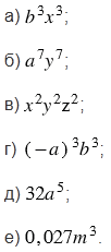
Представьте в виде степени произведение:

№436 учебника 2023-2026 (стр. 105):
Вспомните:
№436 учебника 2013-2022 (стр. 106):
Вспомните:
Вернуться к содержанию учебника