Вернуться к содержанию учебника
Выберите год учебника
№437 учебника 2023-2026 (стр. 105):
Представьте в виде квадрата или куба число:
а) 9;
б) -27;
в) 6,25;
г) 0,064;

№437 учебника 2013-2022 (стр. 106):
Найдите значение выражения:
а) 24 • 54;
б) 43 • 253;
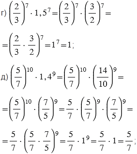
в) 0,2515 • 415;

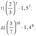
е) 0,26 • 507.
№437 учебника 2023-2026 (стр. 105):
Вспомните:
№437 учебника 2013-2022 (стр. 106):
Вспомните:
№437 учебника 2023-2026 (стр. 105):

№437 учебника 2013-2022 (стр. 106):
а) 24 • 54 = (2 • 5)4 = 104 = 10 000;
б) 43 • 253 = (4 • 25)3 = 1003 = 1 000 000;
в) 0,2515 • 415 = (0,25 • 4)15 = 115 = 1;

е) 0,26 • 507 = 0,26 • 506 • 50 =
= (0,2 • 50)6 • 50 = 106 • 50 =
= 1 000 000 • 50 = 50 000 000.
Пояснения:
Если показатели степени у множителей одинаковые, то можно сначала выполнить умножение оснований, а затем полученное произведение возвести в данную степень.
Вернуться к содержанию учебника