Вернуться к содержанию учебника
Выберите год учебника
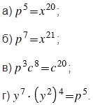
№562 учебника 2023-2026 (стр. 126):
Замените букву
выражением так, чтобы полученное равенство было тождеством:

№562 учебника 2013-2022 (стр. 125):
На рисунке 66 построены графики функций \(y = x\), \(y = x^2\), \(y = x^3\), где \(x\ge0\). Пользуясь графиком, сравните:
а) 0,23 и 0,232; б) 1,47 и 1,472;
0,23 и 0,233; 1,47 и 1,473;
0,232 и 0,233; 1,472 и 1,473.
№562 учебника 2023-2026 (стр. 126):
Вспомните:
№562 учебника 2013-2022 (стр. 125):
Вспомните:
№562 учебника 2023-2026 (стр. 126):


Пояснения:
Чтобы определить значения
, используем свойства степени:
1) при умножении степеней с одинаковыми основаниями основание оставляют прежним, а показатели степеней складывают;
2) при возведении степени в степень основание оставляют тем же, а показатели перемножают.
№562 учебника 2013-2022 (стр. 125):


Вернуться к содержанию учебника