Вернуться к содержанию учебника
Выберите год учебника
№683 учебника 2023-2026 (стр. 146):
Представьте в виде произведения:
а) \(c^3 - c^4 + 2c^5\);
б) \(5m^4 - m^3 + 2m^2\);
в) \(4x^4 + 8x^3 - 2x^2\);
г) \(5a - 5a^2 - 10a^4\).
№683 учебника 2013-2022 (стр. 147):
Представьте в виде многочлена выражение:

№683 учебника 2023-2026 (стр. 146):
№683 учебника 2013-2022 (стр. 147):
Вспомните:
№683 учебника 2023-2026 (стр. 146):
а) \(c^3 - c^4 + 2c^5 =\)
\(=c^3\bigl(1 - c + 2c^2\bigr)\).
б) \(5m^4 - m^3 + 2m^2 =\)
\(=m^2\bigl(5m^2 - m + 2\bigr)\).
в) \(4x^4 + 8x^3 - 2x^2 = \)
\(=2x^2\bigl(2x^2 + 4x - 1\bigr)\).
г) \(5a - 5a^2 - 10a^4 =\)
\(=5a\bigl(1 - a - 2a^3\bigr)\).
Пояснения:
Использованные правила и приёмы:
1) Распределительный закон:
\[a(b +c+d) =ab+ac+ad\]
2) Обратный распределительный закон (вынос общего множителя):
\[ab+ac+ad =a(b +c+d)\]
3) Вынос наименьшей степени при работе со степенями:
\[a^p + a^q + a^r = a^{\min(p,q,r)}\bigl(a^{p-\min(p,q,r)} + a^{q-\min(p,q,r)} + a^{r-\min(p,q,r)}\bigr)\]
Подзадача а): в выражении \(c^3 - c^4 + 2c^5\) наименьшая степень переменной — 3, выносим \(c^3\). Внутри скобки остаётся \(1 - c + 2c^2\).
Подзадача б): у членов \(5m^4\), \(-m^3\) и \(2m^2\) наименьшая степень — 2, выносим \(m^2\), внутри \((5m^2 - m + 2)\).
Подзадача в): общий множитель у \(4x^4, 8x^3, -2x^2\) — \(2x^2\); после выноса остаётся \((2x^2 + 4x - 1)\).
Подзадача г): в мономах \(5a\), \(-5a^2\), \(-10a^4\) общий множитель \(5a\); внутри скобки \((1 - a - 2a^3)\).
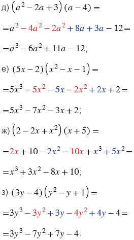
№683 учебника 2013-2022 (стр. 147):


Пояснения:
Чтобы представить выражение в виде многочлена, нужно выполнить умножение многочлена на многочлен.
Чтобы умножить многочлен на многочлен, можно каждый член одного многочлена умножить на каждый член другого и полученные произведения сложить (мы говорим об алгебраической сумме - выражение, которое можно представить в виде суммы положительных и отрицательных чисел). В решении выделены одинаковым цветом подобные слагаемые, их мы складываем (вычитаем), тем самым упрощая выражение.
Схема умножения многочлена на многочлен из пункта а):

В пунктах б), д), ж) действуем аналогично.
Схема умножения многочлена на многочлен из пункта в):

В пунктах г), е), з) действуем аналогично.
Вернуться к содержанию учебника