Вернуться к содержанию учебника
Выберите год учебника
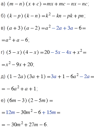
№695 учебника 2023-2026 (стр. 149):
Представьте в виде многочлена выражение:

№695 учебника 2013-2022 (стр. 148):
Докажите, что при всех целых \(n\) значение выражения:
а) \(n(n-1) - (n+3)(n+2)\) делится на 6;
б) \(n(n+2) - (n-7)(n-5)\) делится на 7.
№695 учебника 2023-2026 (стр. 149):
Вспомните:
№695 учебника 2013-2022 (стр. 148):
Вспомните:
№695 учебника 2023-2026 (стр. 149):

Пояснения:
Чтобы представить выражение в виде многочлена, нужно выполнить умножение многочлена на многочлен.
Чтобы умножить многочлен на многочлен, можно каждый член одного многочлена умножить на каждый член другого и полученные произведения сложить (мы говорим об алгебраической сумме - выражение, которое можно представить в виде суммы положительных и отрицательных чисел). В решении выделены одинаковым цветом подобные слагаемые, их мы складываем (вычитаем), тем самым упрощая выражение.
№695 учебника 2013-2022 (стр. 148):
а) \(n(n-1) - (n+3)(n+2) =\)
\(=n^2 - n - \bigl(n^2 + 3n + 2n + 6\bigr)=\)
\(=n^2 - n - \bigl(n^2 + 5n + 6\bigr)=\)
\(= n^2 - n - n^2 - 5n - 6 =\)
\(=-6n - 6 = -6(n + 1)\) - делится на 6.
б) \(n(n+2) - (n-7)(n-5) =\)
\(=n^2 + 2n - \bigl(n^2 - 5n - 7n + 35\bigr)=\)
\(=n^2 + 2n - \bigl(n^2 - 12n + 35\bigr)=\)
\(= n^2 + 2n - n^2 + 12n - 35 =\)
\(= 14n - 35 = 7(2n - 5)\) - делится на 7.
Пояснения:
Использованные правила:
1. Распределительное свойство умножения (вынос множителя за скобки):
\(x(y+z)=xy+xz\).
2. Раскрытие скобок для произведения:
\((a+b)(c+d)=ac+ad+bc+bd\).
3. Правило вычитания скобок:
\(A - (B+C)=A - B - C\).
4. Приведение подобных членов:
\(k_1X + k_2X = (k_1 + k_2)X.\)
5. Критерий делимости: если число представимо в виде \(k\cdot m\), где \(m\) какой-либо многочлен, то оно делится на \(k\).
Пояснения к шагам:
Для пункта а):
сначала раскрыли скобки
\(n(n-1)=n^2-n\) и
\((n+3)(n+2)=n^2+5n+6\),
затем вычли второе из первого, получили \(-6n-6\), используя распределительное свойство умножения, вынесли множитель -6 за скобки \(-6(n+1)\). По критерию делимости на 6, множитель \(-6\) гарантирует делимость.
Для пункта б):
раскрыли скобки
\(n(n+2)=n^2+2n\) и
\((n-7)(n-5)=n^2-12n+35\),
затем вычли второе из первого, получили \(14n-35\), используя распределительное свойство умножения, вынесли множитель 7 за скобки \(7(2n-5)\). По критерию делимости на 7 множитель 7 гарантирует делимость.
Вернуться к содержанию учебника