стр. 134. Контрольные вопросы и задания - ГДЗ Алгебра 7 класс. Макарычев, Миндюк. Учебник

Старая и новая редакции

Вернуться к содержанию учебника

Контрольные вопросы и задания

стр. 108 стр. 110 стр. 118 стр. 134 стр. 136 стр. 145 стр. 147

Вопрос

1. Дайте определение многочлена.

2. На примере многочлена объясните, как привести многочлен к стандартному виду.

3. Что называется степенью многочлена? Приведите пример многочлена третьей степени.

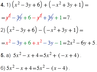
4. Составьте сумму и разность многочленов и преобразуйте каждое выражение в многочлен стандартного вида.

5. В многочлене заключите в скобки два последних члена, подставив перед скобками:

а) знак "плюс";

б) знак "минус".

Подсказка

Вспомните:

  1. Что называют многочленом, его стандартный вид и степень.
  2. Что называют одночленом, его стандартный вид и степень.
  3. Сложение и вычитание многочленов.
  4. Раскрытие скобок, подобные слагаемые.
  5. Сложение рациональных чисел.
  6. Вычитание рациональных чисел.
  7. Умножение обыкновенных дробей.

Ответ


Вернуться к содержанию учебника