Периметр многоугольника - это сумма длин всех его сторон.
Теорема
Доказательство:
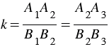
Пусть многоугольники А1А2...Аn и В1В2...Вn с коэффициентом
. Тогда А1А2 =
В1В2, А2А3 =
В2В3, ..., АnА1 =
ВnВ1.
Найдем отношение периметров многоугольников А1А2...Аn и В1В2...Вn, используя полученные равенства:

Теорема доказана.
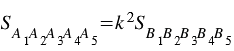
Теорема
|
|
Доказательство:
Ход рассуждений не зависит от числа сторон этих многоугольников, поэтому рассмотрим для определенности случай, когда
= 5.
Пусть многоугольники А1А2А3А4А5 и В1В2В3В4В5 с коэффициентом
. Тогда А1А2 =
В1В2, А2А3 =
В2В3, А3А4 =
В3В4, А4А5 =
В4В5, А5А1 =
В5В1.
Разобьем многоугольник А1А2А3А4А5 на треугольники
,
,
, а многоугольник В1В2В3В4В5 на треугольники
,
,
.

По второму признаку подобия треугольников:
с коэффициентом подобия
, так как
А1 =
В1,
.
Также по второму признаку подобия треугольников:
с коэффициентом подобия
, так как
А1А3А4 =
В1В3В4 (
А3 =
В3 по условию и
А1А3А2 =
В1В3В2 из подобия
и
),
.
Аналогично доказывается, что
.
По теореме о площадях подобных треугольников:

Сложим эти три равенства, получим:
или в правой части полученного равенства можно вынести
за скобки, тогда
.
Откуда, учитывая свойство площадей, получим:
или
.
Теорема доказана.
Применение подобия фигур к доказательству теорем и решению задач
7 класс
Задание 1304, Атанасян, Бутузов, Кадомцев, Позняк, Юдина, Учебник
Задание 1305, Атанасян, Бутузов, Кадомцев, Позняк, Юдина, Учебник
Задание 1306, Атанасян, Бутузов, Кадомцев, Позняк, Юдина, Учебник
Задание 1307, Атанасян, Бутузов, Кадомцев, Позняк, Юдина, Учебник
Задание 1308, Атанасян, Бутузов, Кадомцев, Позняк, Юдина, Учебник
Задание 1349, Атанасян, Бутузов, Кадомцев, Позняк, Юдина, Учебник
Задание 4, Атанасян, Бутузов, Кадомцев, Позняк, Юдина, Учебник
Задание 5, Атанасян, Бутузов, Кадомцев, Позняк, Юдина, Учебник