Задание 1138 - ГДЗ Геометрия 7-9 класс. Атанасян. Учебник

Старая и новая редакции

Вернуться к содержанию учебника

1136 1137 1138 1138 1139 1140 1141

Вопрос

Выберите год учебника

№1138 учебника 2013-2022 (стр. 286):

Найдите длину окружности, вписанной в ромб, если:

а) диагонали ромба равны 6 см и 8 см;

б) сторона ромба равна и острый угол равен .


№1138 учебника 2023-2026 (стр. 289):

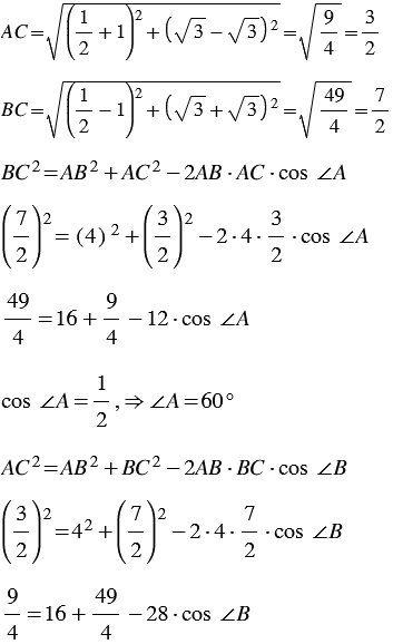
Найдите углы треугольника с вершинами , и .

Подсказка

№1138 учебника 2013-2022 (стр. 286):

Вспомните:

  1. Что такое ромб, свойства диагоналей ромба.
  2. Какая окружность называется вписанной в правильный многоугольник.
  3. Что такое диагональ многоугольника.
  4. Какой треугольник называется прямоугольным.
  5. Теорему Пифагора.
  6. Признаки равенства прямоугольных треугольников.
  7. Первый признак равенства треугольников.
  8. Свойства площадей.
  9. Как найти площадь треугольника.
  10. Теорему о площади треугольника.
  11. Что такое высота треугольника.

№1138 учебника 2023-2026 (стр. 289):

Вспомните:

  1. Что такое треугольник.
  2. Теорему о сумме углов треугольника.
  3. Как найти расстояние между точками.
  4. Теорему косинусов.

Ответ

№1138 учебника 2013-2022 (стр. 286):


№1138 учебника 2023-2026 (стр. 289):


Вернуться к содержанию учебника