Номер 443 - ГДЗ Алгебра 7 класс. Мерзляк, Полонский. Учебник. Страница 84

Вернуться к содержанию учебника

Страница 84

440 441 442 443 444 445 446

Вопрос

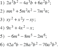
Разложите на множители:

Подсказка

Ответ


Вернуться к содержанию учебника