Номер 447 - ГДЗ Алгебра 7 класс. Мерзляк, Полонский. Учебник. Страница 84

Вернуться к содержанию учебника

Страница 84

444 445 446 447 448 449 450

Вопрос

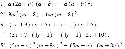
Разложите на множители:

Подсказка

Ответ


Вернуться к содержанию учебника