Номер 445 - ГДЗ Алгебра 7 класс. Мерзляк, Полонский. Учебник. Страница 84

Вернуться к содержанию учебника

Страница 84

442 443 444 445 446 447 448

Вопрос

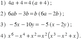
Найдите и исправьте ошибки в равенствах:

Подсказка

Ответ


Вернуться к содержанию учебника