Номер 1039 - ГДЗ Алгебра 7 класс. Мерзляк, Полонский. Учебник. Страница 206

Вернуться к содержанию учебника

Страница 206

1036 1037 1038 1039 1040 1041 1042

Вопрос

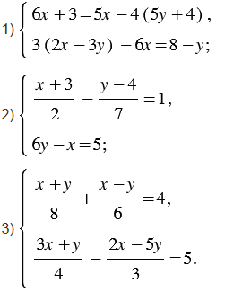
Решите систему уравнений:

Подсказка

Ответ


Вернуться к содержанию учебника