Номер 1034 - ГДЗ Алгебра 7 класс. Мерзляк, Полонский. Учебник. Страница 205

Вернуться к содержанию учебника

Страница 205

1031 1032 1033 1034 1035 1036 1037

Вопрос

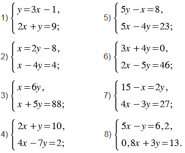
Решите систему уравнений:

Подсказка

Ответ


Вернуться к содержанию учебника