Номер 1053 - ГДЗ Алгебра 7 класс. Мерзляк, Полонский. Учебник. Страница 210

Вернуться к содержанию учебника

Страница 210

1050 1051 1052 1053 1054 1055 1056

Вопрос

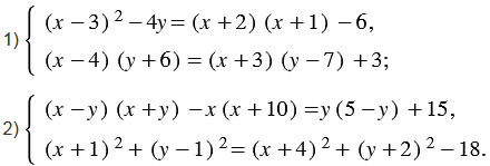
Найдите решение системы уравнений:

Подсказка

Ответ


Вернуться к содержанию учебника