Номер 79 - ГДЗ Алгебра 8 класс. Мерзляк, Полонский. Учебник. Страница 22

Вернуться к содержанию учебника

Упражнения § 3. Страница 22

76 77 78 79 80 81 82

Вопрос

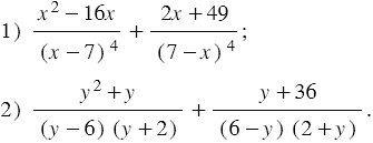
Упростите выражение:

Подсказка

Ответ


Вернуться к содержанию учебника