Номер 80 - ГДЗ Алгебра 8 класс. Мерзляк, Полонский. Учебник. Страница 22

Вернуться к содержанию учебника

Упражнения § 3. Страница 22

77 78 79 80 81 82 83

Вопрос

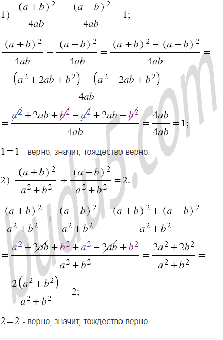
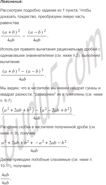
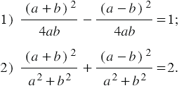
Докажите тождество:

Подсказка

Ответ


Вернуться к содержанию учебника