Номер 134 - ГДЗ Алгебра 8 класс. Мерзляк, Полонский. Учебник. Страница 31

Вернуться к содержанию учебника

Упражнения § 4. Страница 31

131 132 133 134 135 136 137

Вопрос

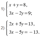
Решите систему уравнений:

Подсказка

Ответ


Вернуться к содержанию учебника