Номер 498 - ГДЗ Алгебра 8 класс. Мерзляк, Полонский. Учебник. Страница 130

Вернуться к содержанию учебника

Упражнения §16. Страница 130

5 496 497 498 499 500 501

Вопрос

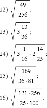
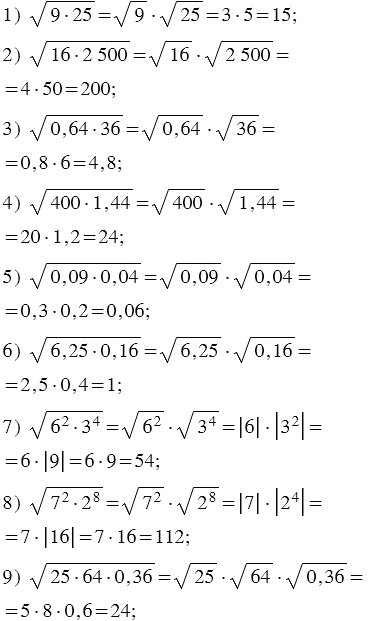
Вычислите значение выражения:

Подсказка

Ответ


Вернуться к содержанию учебника