Номер 502 - ГДЗ Алгебра 8 класс. Мерзляк, Полонский. Учебник. Страница 130

Вернуться к содержанию учебника

Упражнения §16. Страница 130

499 500 501 502 503 504 505

Вопрос

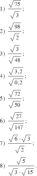
Найдите значение выражения:

Подсказка

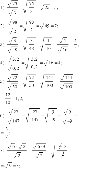
Ответ


Вернуться к содержанию учебника