Номер 545 - ГДЗ Алгебра 8 класс. Мерзляк, Полонский. Учебник. Страница 139

Вернуться к содержанию учебника

Упражнения §17. Страница 139

542 543 544 545 546 547 548

Вопрос

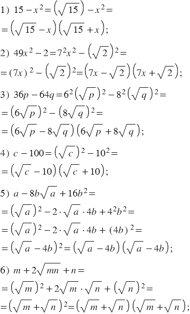
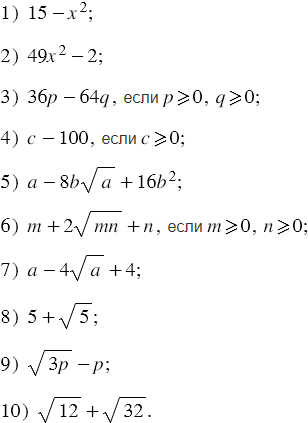
Разложите на множители выражение:

Подсказка

Ответ


Вернуться к содержанию учебника