Номер 546 - ГДЗ Алгебра 8 класс. Мерзляк, Полонский. Учебник. Страница 139

Вернуться к содержанию учебника

Упражнения §17. Страница 139

543 544 545 546 547 548 549

Вопрос

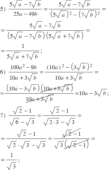
Сократите дробь:

Подсказка

Ответ


Вернуться к содержанию учебника