Номер 568 - ГДЗ Алгебра 8 класс. Мерзляк, Полонский. Учебник. Страница 142

Вернуться к содержанию учебника

Упражнения §17. Страница 142

565 566 567 568 569 570 571

Вопрос

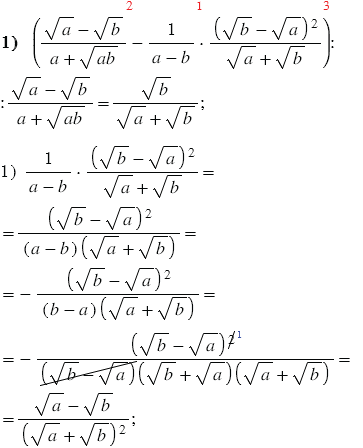
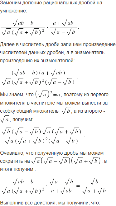
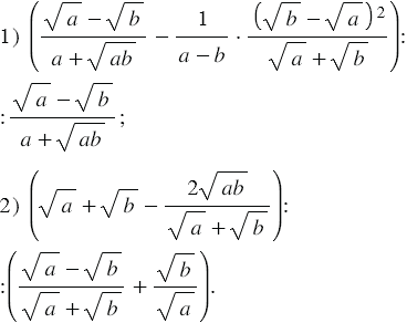
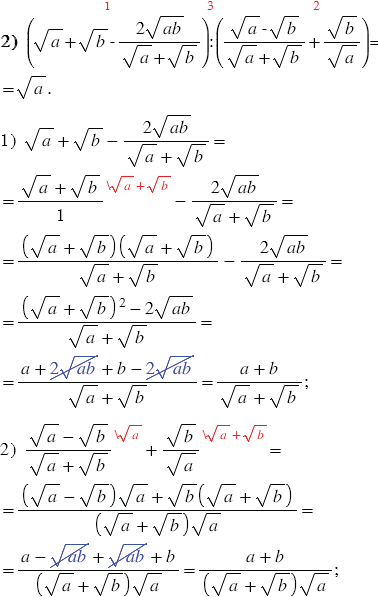
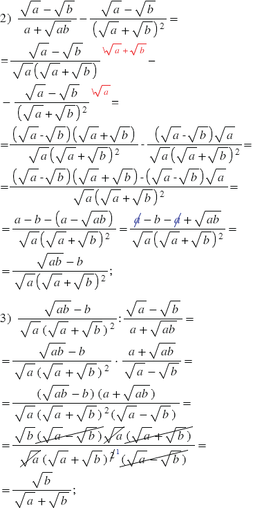
Упростите выражение:

Подсказка

Ответ


Вернуться к содержанию учебника