Задание 491 - ГДЗ Геометрия 7-9 класс. Атанасян. Учебник

Старая и новая редакции

Вернуться к содержанию учебника

488 489 490 491 492 493 494

Вопрос

Выберите год учебника

№491 учебника 2013-2022 (стр. 132):

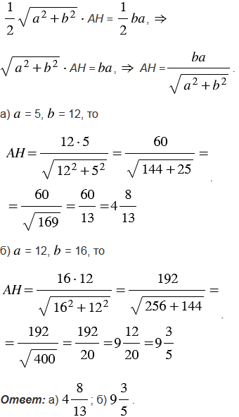
По данным катетам и прямоугольного треугольника найдите высоту, проведенную к гипотенузе:

а) = 5, = 12; б) = 12, = 16.


№491 учебника 2023-2026 (стр. 129):

Докажите свойства равнобедренной трапеции: а) в равнобедренной трапеции углы при каждом основании равны; б) в равнобедренной трапеции диагонали равны.

Подсказка

№491 учебника 2013-2022 (стр. 132):

Вспомните:

  1. Какой треугольник называется прямоугольным.
  2. Площадь треугольника.
  3. Теорему Пифагора.
  4. Что такое высота треугольника.

№491 учебника 2023-2026 (стр. 129):

Вспомните:

  1. Какая трапеция называется равнобедренной.
  2. Что такое диагональ многоугольника.
  3. Теорему о соответственных углах.
  4. Теорему об односторонних углах.
  5. Какой треугольник называется равнобедренным.
  6. Свойства равнобедренного треугольника.
  7. Какая фигура называется параллелограммом, его свойства.
  8. Первый признак равенства треугольников.

Ответ

№491 учебника 2013-2022 (стр. 132):


№491 учебника 2023-2026 (стр. 129):


Вернуться к содержанию учебника