Задание 548 - ГДЗ Геометрия 7-9 класс. Атанасян. Учебник

Старая и новая редакции

Вернуться к содержанию учебника

545 546 547 548 549 550 551

Вопрос

Выберите год учебника

№548 учебника 2013-2022 (стр. 141):

Треугольники АВС и А1В1С1 подобны. Сходственные стороны ВС и В1С1 соответственно равны 1,4 м и 56 см. Найдите отношение периметров треугольников АВС и А1В1С1.


№548 учебника 2023-2026 (стр. 145):

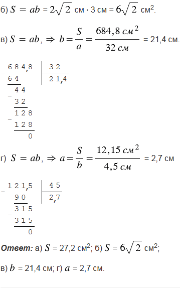
Пусть и - смежные стороны прямоугольника, а - его площадь. Вычислите: а) , если = 8,5 см, = 3,2 см; б) , если = см, = 3 см; в) , если = 32 см, = 684,8 см2; г) , если = 4,5 см, = 12,15 см2.

Подсказка

№548 учебника 2013-2022 (стр. 141):

Вспомните:

  1. Какая фигура называется треугольником, его периметр.
  2. Какие треугольники называются подобными, их сходственные стороны.

№548 учебника 2023-2026 (стр. 145):

Вспомните:

  1. Какой четырехугольник называется прямоугольником.
  2. Как найти площадь прямоугольника.

Ответ

№548 учебника 2013-2022 (стр. 141):


№548 учебника 2023-2026 (стр. 145):


Вернуться к содержанию учебника