Задание 546 - ГДЗ Геометрия 7-9 класс. Атанасян. Учебник

Старая и новая редакции

Вернуться к содержанию учебника

543 544 545 546 547 548 549

Вопрос

Выберите год учебника

№546 учебника 2013-2022 (стр. 141):

План земельного участка имеет форму треугольника. Площадь изображенного на плане участка равна 87,5 см2. Найдите площадь земельного участка, если план выполнен в масштабе 1 : 100000.


№546 учебника 2023-2026 (стр. 145):

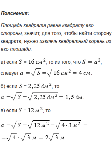
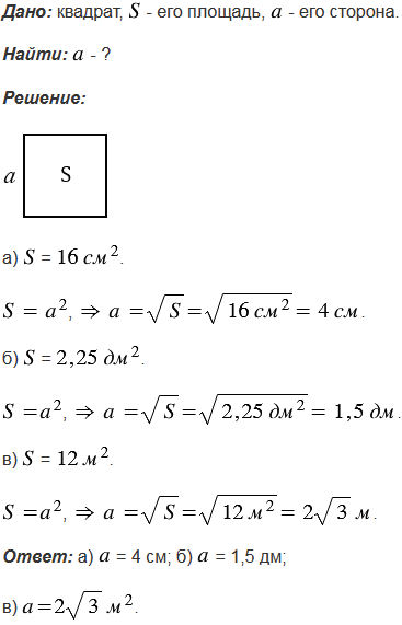
Найдите сторону квадрата, если его площадь равна:а) 16 см2; б) 2,25 дм2; в) 12 м2.

Подсказка

№546 учебника 2013-2022 (стр. 141):

Вспомните:

  1. Какая фигура называется треугольником.
  2. Какие треугольники называются подобными.
  3. Теорему об отношении площадей подобных треугольников.

№546 учебника 2023-2026 (стр. 145):

Вспомните:

  1. Какой четырехугольник называется квадратом.
  2. Как найти площадь квадрата.

Ответ

№546 учебника 2013-2022 (стр. 141):


№546 учебника 2023-2026 (стр. 145):


Вернуться к содержанию учебника