Задание 545 - ГДЗ Геометрия 7-9 класс. Атанасян. Учебник

Старая и новая редакции

Вернуться к содержанию учебника

542 543 544 545 546 547 548

Вопрос

Выберите год учебника

№545 учебника 2013-2022 (стр. 140):

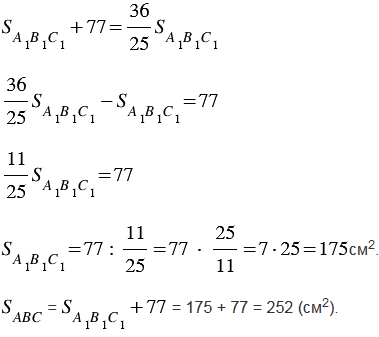
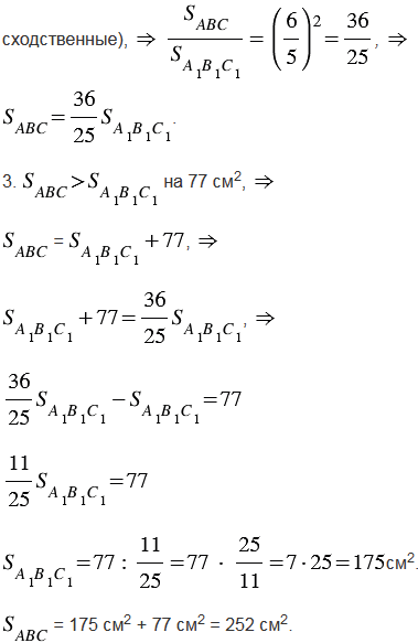
Треугольник АВС и А1В1С1 подобны, и их сходственные стороны относятся как 6 : 5. Площадь треугольника АВС больше площади треугольника А1В1С1 на 77 см2. Найдите площади треугольников.


№545 учебника 2023-2026 (стр. 145):

Найдите площадь квадрата, если его сторона равна: а) 1,2 см; б) дм; в) м.

Подсказка

№545 учебника 2013-2022 (стр. 140):

Вспомните:

  1. Какая фигура называется треугольником.
  2. Какие треугольники называются подобными, их сходственные стороны.
  3. Теорему об отношении площадей подобных треугольников.

№545 учебника 2023-2026 (стр. 145):

Вспомните:

  1. Какой четырехугольник называется квадратом.
  2. Как найти площадь квадрата.

Ответ

№545 учебника 2013-2022 (стр. 140):


№545 учебника 2023-2026 (стр. 145):


Вернуться к содержанию учебника