Задание 973 - ГДЗ Геометрия 7-9 класс. Атанасян. Учебник

Старая и новая редакции

Вернуться к содержанию учебника

970 971 972 973 974 975 976

Вопрос

Выберите год учебника

№973 учебника 2013-2022 (стр. 241):

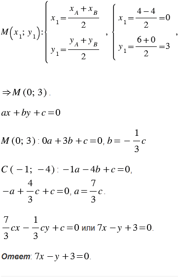
Даны координаты вершин треугольника АВС: А(4; 6), В(-4; 0), С(-1; -4). Напишите уравнение прямой, содержащей медиану СМ.


№973 учебника 2023-2026 (стр. 242):

Точки М и N - середины диагоналей АС и BD четырёхугольника ABCD. Докажите, что

= ( + ).

Подсказка

№973 учебника 2013-2022 (стр. 241):

Вспомните:

  1. Что такое прямая.
  2. Что такое треугольник.
  3. Что такое медиана.
  4. Что такое система координат.
  5. Как определить координаты точки.
  6. Что называется уравнением линии.
  7. Какой вид имеет уравнение прямой.

№973 учебника 2023-2026 (стр. 242):

Вспомните:

  1. Что такое четырехугольник.
  2. Что такое диагональ.
  3. Что такое вектор.
  4. Какие векторы называются коллинеарными.
  5. Какие векторы называются равными.
  6. Какие векторы называются противоположными.
  7. Законы сложения векторов.
  8. Как найти сумму нескольких векторов.

Ответ

№973 учебника 2013-2022 (стр. 241):


№973 учебника 2023-2026 (стр. 242):


Вернуться к содержанию учебника