Задание 972 - ГДЗ Геометрия 7-9 класс. Атанасян. Учебник. Страница 241

Старая и новая редакции

Вернуться к содержанию учебника

969 970 971 972 973 974 975

Вопрос

Выберите год учебника

№972 учебника 2013-2022 (стр. 241):

Напишите уравнение прямой, проходящей через две данные точки: а) А(1; -1) и В(-3; 2); б) С(2; 5) и D(5; 2); в) М(0; 1) и N(-4; -5).


№972 учебника 2023-2026 (стр. 241):

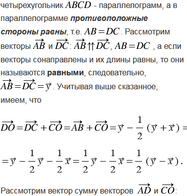
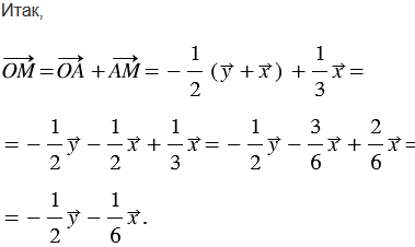
В параллелограмме ABCD диагонали пересекаются в точке О, а М - такая точка на стороне AD, что AM = MD. Выразите через векторы = , = следующие векторы:

а) , , , , + , + ;

б) , , , .

Подсказка

№972 учебника 2013-2022 (стр. 241):

Вспомните:

  1. Что такое прямая.
  2. Что такое система координат.
  3. Как определить координаты точки.
  4. Что называется уравнением линии.
  5. Какой вид имеет уравнение прямой.

№972 учебника 2023-2026 (стр. 241):

Вспомните:

  1. Что такое вектор.
  2. Какие векторы называются коллинеарными.
  3. Какие векторы называются равными.
  4. Как найти сумму векторов.
  5. Законы сложения векторов.
  6. Что такое параллелограмм.

Ответ

№972 учебника 2013-2022 (стр. 241):


№972 учебника 2023-2026 (стр. 241):


Вернуться к содержанию учебника