Задание 1011 - ГДЗ Геометрия 7-9 класс. Атанасян. Учебник

Старая и новая редакции

Вернуться к содержанию учебника

1008 1009 1010 1011 1012 1013 1014

Вопрос

Выберите год учебника

№1011 учебника 2013-2022 (стр. 251):

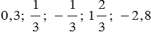
Ответьте на вопросы: а) Может ли абсцисса точки единичной полуокружности иметь значения ?

б) Может ли ордината точки единичной полуокружности иметь значения ? Ответ обоснуйте.


№1011 учебника 2023-2026 (стр. 252):

Найдите координаты векторов , , , , если .

Подсказка

№1011 учебника 2013-2022 (стр. 251):

Вспомните:

  1. Что такое система координат.
  2. Как определить координаты точки.
  3. Что такое единичная полуокружность.

№1011 учебника 2023-2026 (стр. 252):

Вспомните:

  1. Что такое вектор.
  2. Координаты вектора.

Ответ

№1011 учебника 2013-2022 (стр. 251):


№1011 учебника 2023-2026 (стр. 252):


Вернуться к содержанию учебника