Вернуться к содержанию учебника
Выберите год учебника
№1042 учебника 2013-2022 (стр. 264):
В равностороннем треугольнике АВС со стороной
проведена высота BD. Вычислите скалярное произведение векторов: а) 

; б) 

; в) 

; г) 

.
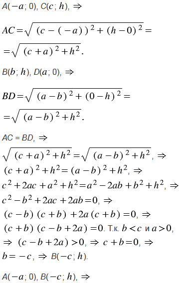
№1042 учебника 2023-2026 (стр. 260):
Докажите, что в равнобедренной трапеции диагонали равны. Сформулируйте и докажите обратное утверждение.
№1042 учебника 2013-2022 (стр. 264):
Вспомните:
№1042 учебника 2023-2026 (стр. 260):
Вспомните:
Вернуться к содержанию учебника