Задание 1098 - ГДЗ Геометрия 7-9 класс. Атанасян. Учебник

Старая и новая редакции

Вернуться к содержанию учебника

1095 1096 1097 1098 1099 1100 1101

Вопрос

Выберите год учебника

№1098 учебника 2013-2022 (стр. 277):

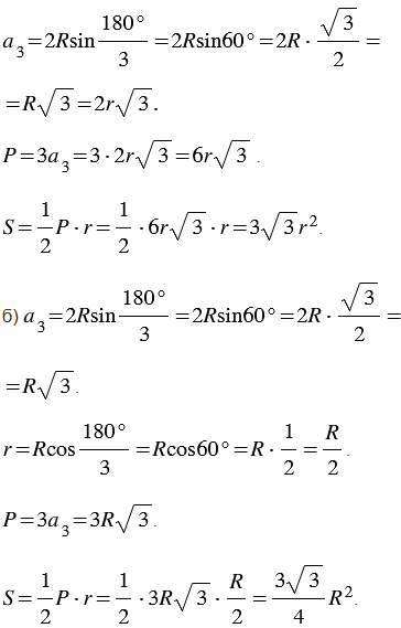
Выразите сторону, периметр и площадь правильного треугольника: а) через радиус вписанной окружности; б) через радиус описанной окружности.


№1098 учебника 2023-2026 (стр. 275):

Ответьте на вопросы: а) Может ли абсцисса точки единичной полуокружности иметь значения ?

б) Может ли ордината точки единичной полуокружности иметь значения ? Ответ обоснуйте.

Подсказка

№1098 учебника 2013-2022 (стр. 277):

Вспомните:

  1. Что такое треугольник.
  2. Какой многоугольник называется правильным.
  3. Формулы для вычисления площади правильного многоугольника, его стороны и радиуса вписанной окружности.
  4. Какая окружность называется вписанной, какая описанной.

№1098 учебника 2023-2026 (стр. 275):

Вспомните:

  1. Что такое система координат.
  2. Как определить координаты точки.
  3. Что такое единичная полуокружность.

Ответ

№1098 учебника 2013-2022 (стр. 277):


№1098 учебника 2023-2026 (стр. 275):


Вернуться к содержанию учебника