Вернуться к содержанию учебника
Выберите год учебника
№1131 учебника 2013-2022 (стр. 285):
Найдите периметр правильного шестиугольника А1А2А3А4А5А6, если А1А4 = 2,24 см.
№1131 учебника 2023-2026 (стр. 288):
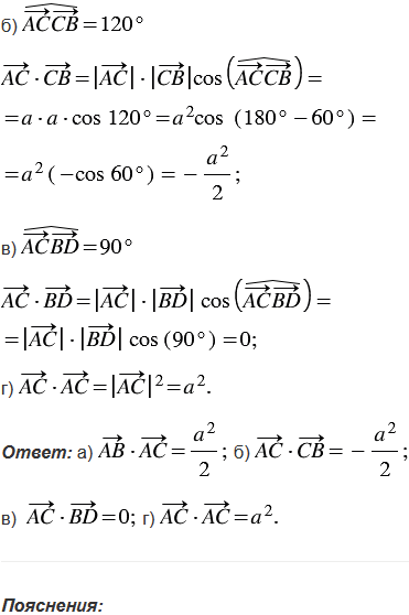
В равностороннем треугольнике АВС со стороной
проведена высота BD. Вычислите скалярное произведение векторов: а) 

; б) 

; в) 

; г) 

.
№1131 учебника 2013-2022 (стр. 285):
Вспомните:
№1131 учебника 2023-2026 (стр. 288):
Вспомните:
Вернуться к содержанию учебника