Задание 1218 - ГДЗ Геометрия 7-9 класс. Атанасян. Учебник

Старая и новая редакции

Вернуться к содержанию учебника

1215 1216 1217 1218 1219 1220 1221

Вопрос

Выберите год учебника

№1218 учебника 2013-2022 (стр. 323):

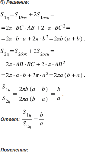
Один цилиндр получен вращением прямоугольника АВСD вокруг прямой АВ, а другой цилиндр - вращением этого же прямоугольника вокруг прямой ВС. а) Докажите, что площади боковых поверхностей этих цилиндров равны. б) Найдите отношение площадей полных поверхностей этих цилиндров, если АВ = , ВС = .


№1218 учебника 2023-2026 (стр. 310):

Площадь сектора с центральным углом 720 равна S. Найдите радиус сектора.

Подсказка

№1218 учебника 2013-2022 (стр. 323):

Вспомните:

  1. Что такое прямоугольник.
  2. Что такое цилиндр, как найти площадь его боковой поверхности.
  3. Как найти площадь круга.

№1218 учебника 2023-2026 (стр. 310):

Вспомните, что такое круговой сектор и как найти его площадь.

Ответ

№1218 учебника 2013-2022 (стр. 323):


№1218 учебника 2023-2026 (стр. 310):


Вернуться к содержанию учебника