Задание 1221 - ГДЗ Геометрия 7-9 класс. Атанасян. Учебник

Старая и новая редакции

Вернуться к содержанию учебника

1218 1219 1220 1221 1222 1223 1224

Вопрос

Выберите год учебника

№1221 учебника 2013-2022 (стр. 325):

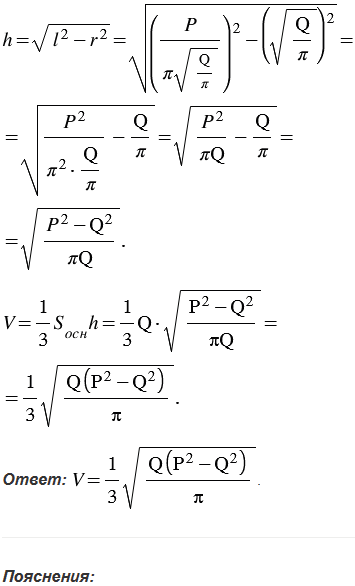
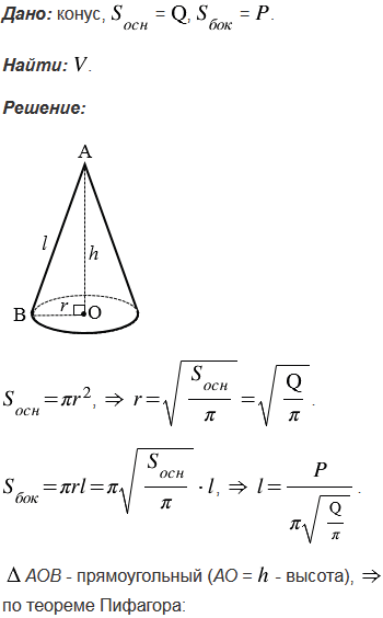
Найдите объем конуса, если площадь его основания равна Q, а площадь боковой поверхности равна Р.


№1221 учебника 2023-2026 (стр. 311):

Сколько сторон имеет правильный многоугольник, один из внешних углов которого равен: а) 180; б) 400; в) 720; г) 600.

Подсказка

№1221 учебника 2013-2022 (стр. 325):

Вспомните:

  1. Что такое конус, как найти его объем и площадь боковой поверхности.
  2. Как найти площадь круга.
  3. Какой треугольник называется прямоугольным.
  4. Теорему Пифагора.

№1221 учебника 2023-2026 (стр. 311):

Вспомните:

  1. Какой многоугольник называется правильным, как найти его угол.
  2. Какой угол называется внешним углом многоугольника.

Ответ

№1221 учебника 2013-2022 (стр. 325):


№1221 учебника 2023-2026 (стр. 311):


Вернуться к содержанию учебника