Номер 787 - ГДЗ Алгебра 8 класс. Мерзляк, Полонский. Учебник. Страница 191

Вернуться к содержанию учебника

Упражнения §23. Страница 191

784 785 786 787 788 789 790

Вопрос

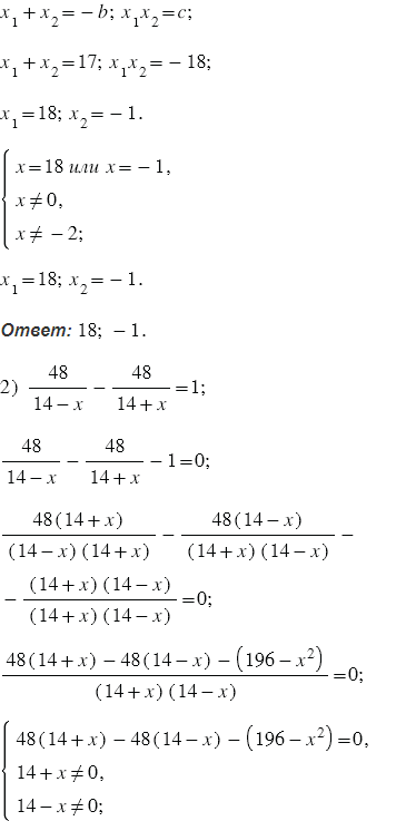
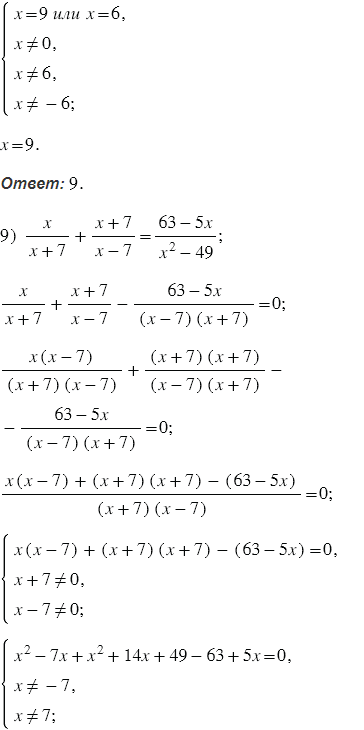
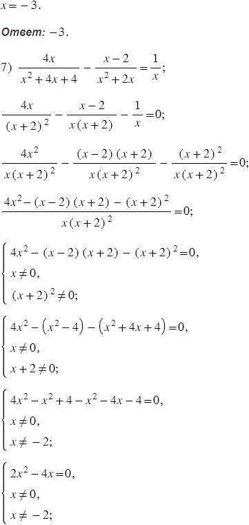
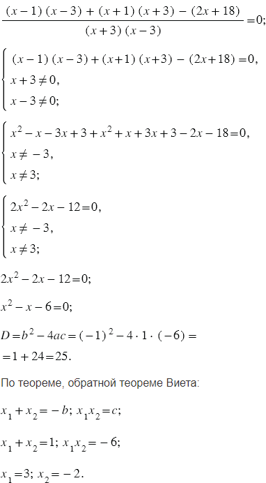
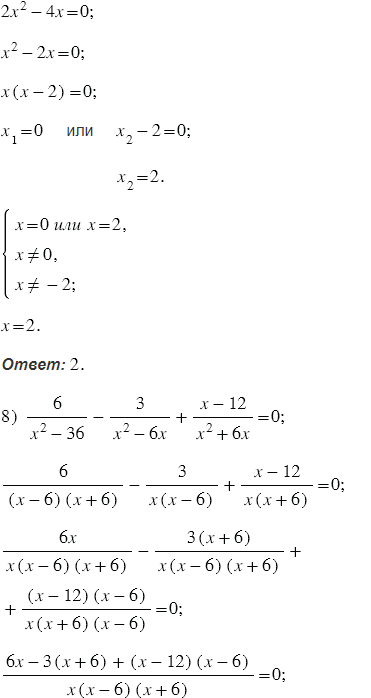
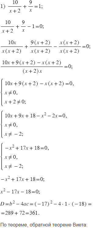
Найдите корни уравнения:

Подсказка

Ответ


Вернуться к содержанию учебника